Publicaciones

Esta sección incluye una lista de los últimos artículos científicos del IPNA publicados en revistas incluidas en el Science Citation Index (SCI).

En DIGITAL.CSIC, repositorio institucional del CSIC, pueden encontrar el listado completo de artículos científicos desde 1962, así como otras colecciones de interés como congresos, tesis, libros, material divulgativo, etc. del centro. El objetivo de DIGITAL.CSIC es organizar, preservar y difundir en acceso abierto los resultados de nuestra investigación.

En el repositorio institucional del CSIC, pueden encontrar el listado completo de artículos científicos, así como otras colecciones de interés como congresos, tesis, libros, material divulgativo, etc.

Ir a Digital - CSIC

 

Análisis de la Producción Científica del IPNA 2014-2019: análisis bibliométrico realizado a partir de datos recogidos en Scopus y Web of Science.

Image
Digital CSIC

Satellite Radar and Camera Time Series Reveal Transition from Aligned to Distributed Crater Arrangement during the 2021 Eruption of Cumbre Vieja, La Palma (Spain)

Magma-filled dikes may feed erupting fissures that lead to alignments of craters developing at the surface, yet the details of activity and migrating eruptions at the crater row are difficult to monitor and are hardly understood. The 2021 Tajogaite eruption at the Cumbre Vieja, La Palma (Spain), lasted 85 days and developed a pronounced alignment of craters that may be related to changes within the volcano edifice. Here, we use COSMO-SkyMed satellite radar data and ground-based time-lapse photographs, offering a high-resolution dataset to explore the locations and characteristics of evolving craters. Our results show that the craters evolve both gradually and suddenly and can be divided into three main phases. Phase 1, lasting the first 6 weeks of the eruption, was characterized by a NW–SE linear evolution of up to seven craters emerging on the growing cone. Following two partial collapses of the cone to the northwest and a seismicity increase at depth, Phase 2 started and caused a propagation of the main activity toward the southeastern side, together with the presence of up to 11 craters along this main NW–SE trend. Associated with strong deep and shallow earthquakes, Phase 3 was initiated and continued for the final 2 weeks of the eruption, expressed by the development of up to 18 craters, which became dominant and clustered in the southeastern sector in early December 2021. In Phase 3, a second and oblique alignment and surface fracture was identified. Our findings that crater and eruption changes coincide together with an increase in seismic activity at depth point to a deep driver leading to crater and morphology changes at the surface. These also suggest that crater distributions might allow for improved monitoring of changes occurring at depth, and vice versa, such that strong seismicity changes at depth may herald the migration and new formation of craters, which have major implications for the assessment of tephra and lava flow hazards on volcanoes.

Muñoz, Valeria; Walter, Thomas R.; Zorn, Edgar U.; Shevchenko, Alina V.; González, Pablo J.; Reale, Diego; Sansosti, Eugenio.

Remote Sensing, 14(23), 6168: 1-22 (2022)
DOIDigital.CSIC

Population origin determines the adaptive potential for the advancement of flowering onset in Lupinus angustifolius L. (Fabaceae)

In the present framework of global warming, it is unclear whether evolutionary adaptation can happen quick enough to preserve the persistence of many species. Specifically, we lack knowledge about the adaptive potential of the different populations in relation to the various constraints that may hamper particular adaptations. There is evidence indicating that early flowering often provides an adaptive advantage to plants in temperate zones in response to global warming. Thus, the objective of this study was to assess the adaptive potential for advancing flowering onset in Lupinus angustifolius L. (Fabaceae). Seeds from four populations from two contrasting latitudes in Spain were collected and sown in a common garden environment. Selecting the 25% of the individuals that flowered earlier in the first generation, over three generations, three different early flowering selection lines were established, involving both self-crosses and outcrosses. All artificial selection lines advanced their flowering significantly with respect to the control line in the northernmost populations, but not in the southern ones. Selection lines obtained from outcrossing had a greater advancement in flowering than those from self-crossing. No differences were found in the number or weight of the seeds produced between control and artificial selection lines, probably because plants in the common garden were drip irrigated. These results suggest that northern populations may have a greater adaptive potential and that southern populations may be more vulnerable in the context of climate warming. However, earlier flowering was also associated with changes in other traits (height, biomass, shoot growth, specific leaflet area, and leaflet dry matter content), and the effects of these changes varied greatly depending on the latitude of the population and selection line. Assessments of the ability of populations to cope with climate change through this and other approaches are essential to manage species and populations in a more efficient way.

Sacristán-Bajo, Sandra; García-Fernández, Alfredo; Lara-Romero, Carlos; Prieto-Benítez, Samuel; Tabarés, Pablo; Morente-López, Javier; Rubio Teso, María Luisa; Alameda-Martín, Aitor; Torres, Elena; Iriondo, José María.

Evolutionary Applications, 16(1): 62-73 (2022)
DOIDigital.CSIC

Effect of Phytosynthesized Selenium and Cerium Oxide Nanoparticles on Wheat (Triticum aestivum L.) against Stripe Rust Disease

In this study, selenium nanoparticles (SeNPs) and cerium oxide nanoparticles (CeONPs) were synthesized by using the extract of Melia azedarach leaves, and Acorus calamusas rhizomes, respectively, and investigated for the biological and sustainable control of yellow, or stripe rust, disease in wheat. The green synthesized NPs were characterized by UV-Visible spectroscopy, scanning electron microscopy (SEM), energy-dispersive X-ray (EDX), and X-ray diffraction (XRD). The SeNPs and CeONPs, with different concentrations (i.e., 10, 20, 30, and 40 mg/L), were exogenously applied to wheat infected with Puccinia striformis. SeNPs and CeONPs, at a concentration of 30 mg/L, were found to be the most suitable concentrations, which reduced the disease severity and enhanced the morphological (plant height, root length, shoot length, leaf length, and ear length), physiological (chlorophyll and membrane stability index), biochemical (proline, phenolics and flavonoids) and antioxidant (SOD and POD) parameters. The antioxidant activity of SeNPs and CeONPs was also measured. For this purpose, different concentrations (50, 100, 150, 200 and 400 ppm) of both SeNPs and CeONPs were used. The concentration of 400 ppm most promoted the DPPH, ABTS and reducing power activity of both SeNPs and CeONPs. This study is considered the first biocompatible approach to evaluate the potential of green synthesized SeNPs and CeONPs to improve the health of yellow, or stripe rust, infected wheat plants and to provide an effective management strategy to inhibit the growth of Puccinia striformis.

Shahbaz, Muhammad; Fatima, Noor; Mashwani, Zia-ur-Rehman; Akram, Abida; Ul Haq, Ehsan; Mehak, Asma; Abasi, Fozia; Ajmal, Maryam; Yousaf, Tayyaba; Raja, Naveed Iqbal; UlHassan, Hammad; Pérez de Lastra, José Manuel.

Molecules, 27(23), 8149: 1-20 (2022)
DOIDigital.CSIC

New record of Opisthoteuthis massyae (Grimpe, 1920) from Canary Islands, Spain

A new record of the cirrate octopod Opisthoteuthis massyae (Grimpe, 1920) is described from the vicinity of Tenerife Island (Canary Island, Spain). The specimen was a male having arms of pair I markedly thicker and enlarged suckers on the proximal fields of all arms and the distal field of arms II, III and IV. This record was confirmed applying phylogenetic analysis based on the cytochrome oxidase 1 mitochondrial gene sequence (Cox-1). This is the first cirrate octopod reported from the Canary Islands and the third Cox-1 sequence obtained for this species.

Escánez, Alejandro; Lugo, David; Hernández-Teixidor, David.

Spixiana, 45(1): 13-16 (2022)
Digital.CSIC

Multiple responses of bryophytes in a chronosequence of burnt areas in non-fire prone subtropical cloud forests

In non-fire prone ecosystems, like some subtropical humid forests, fire produces habitat destruction and intensifies land degradation by inducing changes in native species composition, soil properties and erosive processes. Bryophytes are key components of the Macaronesian laurel forests playing an important role in regulating water cycling and microclimate. Ecological and taxonomical bryophytes groups have distinct ecological and physiological requirements and may respond in a different way to the same fire events. Therefore, analysing post fire recovery of bryophyte communities represents a key step towards a better understanding of forest fire drivers and post fire management. We investigated how species richness and composition of different ecological and taxonomical bryophyte groups varied in 1158 samples within a fire chronosequence from 5 to 57 years in the best-preserved laurel forest from Canary Islands (Garajonay National Park) analysing communities in terms of differences with comparable surrounding old growth unburnt stands. Epiphyte, terricolous and saxicolous bryophytes were sampled at each plot and the influence of the time since fire was analyzed together with environmental variables (temperature, precipitation, mist precipitation and elevation) and forest structure variables. Our results indicate that there is no general pattern of post fire recolonization, as recolonization varies depending on the ecological and phylogenetic groups considered. Climate and forest structure play an important role in post-fire recolonization, such that time since fire is not the most important variable influencing richness and composition. The results increase the understanding of the processes that shape compositional patterns in groups with high dispersal capacities and high microclimate dependence, such as mosses and liverworts.

Cedrés-Perdomo, Ruymán David; Hernández-Hernández, Raquel; Emerson, Brent C.; González-Mancebo, Juana María.

Perspectives in Plant Ecology, Evolution and Systematics, 58, 125702: 1-12 (2022)
DOIDigital.CSIC

Impact of Reactive Species on Amino Acids—Biological Relevance in Proteins and Induced Pathologies

This review examines the impact of reactive species RS (of oxygen ROS, nitrogen RNS and halogens RHS) on various amino acids, analyzed from a reactive point of view of how during these reactions, the molecules are hydroxylated, nitrated, or halogenated such that they can lose their capacity to form part of the proteins or peptides, and can lose their function. The reactions of the RS with several amino acids are described, and an attempt was made to review and explain the chemical mechanisms of the formation of the hydroxylated, nitrated, and halogenated derivatives. One aim of this work is to provide a theoretical analysis of the amino acids and derivatives compounds in the possible positions. Tyrosine, methionine, cysteine, and tryptophan can react with the harmful peroxynitrite or OH and NO2 radicals and glycine, serine, alanine, valine, arginine, lysine, tyrosine, histidine, cysteine, methionine, cystine, tryptophan, glutamine and asparagine can react with hypochlorous acid HOCl. These theoretical results may help to explain the loss of function of proteins subjected to these three types of reactive stresses. We hope that this work can help to assess the potential damage that reactive species can cause to free amino acids or the corresponding residues when they are part of peptides and proteins.

Curieses Andrés, Celia María; Pérez de Lastra, José Manuel; Andrés Juan, Celia; Plou Gasca, Francisco José; Pérez-Lebeña, Eduardo.

International Journal of Molecular Sciences 23(22): 14049 (2022)
DOIDigital.CSIC

The fate of terrestrial biodiversity during an oceanic island volcanic eruption

Volcanic activity provides a unique opportunity to study the ecological responses of organisms to catastrophic environmental destruction as an essential driver of biodiversity change on islands. However, despite this great scientific interest, no study of the biodiversity at an erupting volcano has yet been undertaken. On La Palma (Canary archipelago), we quantified the main species affected and their fate during the 85-day eruption (September–December 2021). Our main objective consisted of monitoring the biodiversity subjected to critical stress during this volcanic eruption. We found that all biodiversity within a 2.5 km radius was severely affected after the first two weeks. It is challenging to assess whether volcanism can drive evolutionary traits of insular organisms. Examples are the adaptation of an endemic conifer to high temperatures, selection of functional plant types—secondary woodiness—, effects of the disappearance of invertebrates and their influence in trophic nets and vertebrate trophic plasticity. However, our data suggest that such previous evolutionary changes might continue to favour their resilience during this eruption. Lastly, it is a very good opportunity to assess the extent to which these periodic volcanic catastrophes may constitute temporary windows of repeated opportunities for the evolution and speciation of oceanic island biota.

Nogales, Manuel; Guerrero‑Campos, María; Boulesteix, Thomas ; Taquet, Noémie; Beierkuhnlein, Carl; Campion, Robin; Fajardo, Silvia; Zurita, Nieves; Arechavaleta, Manuel; García, Rafael; Weiser, Frank; Medina, Félix M.

Scientific Reports, 12, 19344: 1-12 (2022)
DOIDigital.CSIC

Dynamic Hydroxyl–Yne Reaction with Phenols

Dynamic Covalent Chemistry (DCvC) has gained increasing importance in supramolecular chemistry and materials science. Herein we prove the dynamic nature of the exchange between phenols and vinyl ethers. Exchange is fast at room temperature and under mild conditions. The equilibrium constants and the electronic effect of the phenol substituents were calculated. This novel incorporation to the DCvC toolbox could be quite useful, and as a proof it was used for the synthesis of a responsive molecular cage.

Santos, Tanausú; Pérez-Pérez, Yaiza; Rivero, David S.; Diana-Rivero, Raquel; García-Tellado, Fernando; Tejedor, David; Carrillo Fumero, Romen.

Organic Letters, 24(45), 8401–8405 (2022)
DOIDigital.CSIC

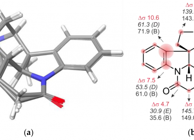
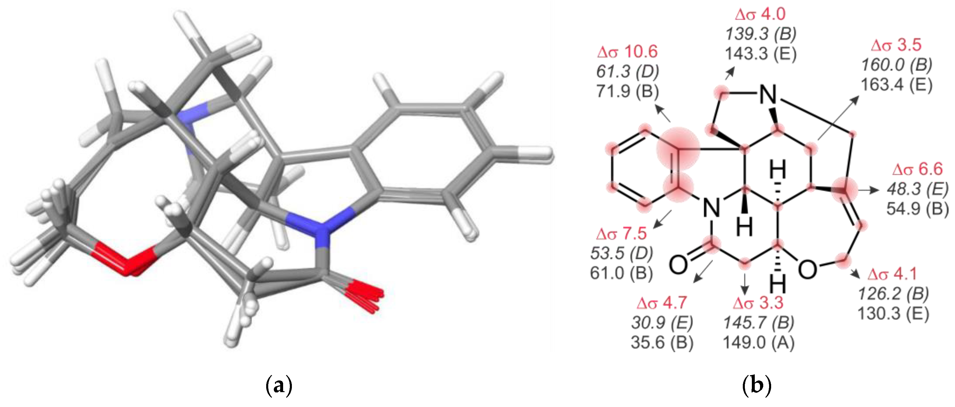
May the Force (Field) Be with You: On the Importance of Conformational Searches in the Prediction of NMR Chemical Shifts

NMR data prediction is increasingly important in structure elucidation. The impact of force field selection was assessed, along with geometry and energy cutoffs. Based on the conclusions, we propose a new approach named mix-J-DP4, which provides a remarkable increase in the confidence level of complex stereochemical assignments—100% in our molecular test set—with a very modest increment in computational cost.

Cuadrado, Cristina; Hernández Daranas, Antonio; Sarotti, Ariel M.

Marine Drugs, 20(11), 699: 1-12 (2022)
DOIDigital.CSIC

Green Synthesis and Characterization of Silver Nanoparticles Using Myrsine africana Leaf Extract for Their Antibacterial, Antioxidant and Phytotoxic Activities

Nanotechnology is the study and control of materials at length scales between 1 and 100 nanometers (nm), where incredible phenomena enable new applications. It affects all aspects of human life and is the most active research topic in modern materials science. Among the various metallic nanoparticles used in biomedical applications, silver nanoparticles (AgNPs) are among the most important and interesting nanomaterials. The aim of this study was to synthesize AgNPs from the leaf extract of Myrsine africana to investigate their antibacterial, antioxidant, and phytotoxic activities. When the leaf extract was treated with AgNO3, the color of the reaction solution changed from light brown to dark brown, indicating the formation of AgNPs. The UV-visible spectrum showed an absorption peak at 438 nm, confirming the synthesis of AgNPs. Scanning electron microscopy (SEM) showed that the AgNPs were spherical and oval with an average size of 28.32 nm. Fourier transform infrared spectroscopy confirms the presence of bio-compound functional groups on the surface of the AgNPs. The crystalline nature of the AgNPs was confirmed by XRD pattern. These biosynthesized AgNPs showed pronounced antibacterial activity against Gram-positive and Gram-negative bacteria, with higher inhibitory activity against Escherichia coli. At 40 µg/mL AgNPs, the highest antioxidant activity was obtained, which was 57.7% and an IC50 value of 77.56 µg/mL. A significant positive effect was observed on all morphological parameters when AgNPs were applied to wheat seedlings under constant external conditions at the different concentrations. The present study provides a cost-effective and environmentally friendly method for the synthesis of AgNPs, which can be effectively used in the field of therapeutics, as antimicrobial and diagnostic agents, and as plant growth promoters.

Sarwer, Qudsia; Shoaib Amjad, Muhammad; Mehmood, Ansar; Binish, Zakia; Mustafa, Ghazala; Farooq, Atikah; Qaseem, Mirza Faisal; Abasi, Fozia; Pérez de Lastra, José Manuel.

Molecules 27(21): 7612 (2022)
DOIDigital.CSIC