Publicaciones

Esta sección incluye una lista de los últimos artículos científicos del IPNA publicados en revistas incluidas en el Science Citation Index (SCI).

En DIGITAL.CSIC, repositorio institucional del CSIC, pueden encontrar el listado completo de artículos científicos desde 1962, así como otras colecciones de interés como congresos, tesis, libros, material divulgativo, etc. del centro. El objetivo de DIGITAL.CSIC es organizar, preservar y difundir en acceso abierto los resultados de nuestra investigación.

En el repositorio institucional del CSIC, pueden encontrar el listado completo de artículos científicos, así como otras colecciones de interés como congresos, tesis, libros, material divulgativo, etc.

Ir a Digital - CSIC

 

Análisis de la Producción Científica del IPNA 2014-2019: análisis bibliométrico realizado a partir de datos recogidos en Scopus y Web of Science.

Image
Digital CSIC

Two novel abietane dimers from transformed root cultures of Salvia broussonetii

Broussonetone A (1) and broussonetone B (2), two novel dimeric abietane diterpenes, have been isolated from Salvia broussonetii root cultures transformed by Agrobacterium rhizogenes. The structure of broussonetone A was determined from spectroscopic data and confirmed by X-ray analysis. This dimer can be formed by a [4+2]-cycloaddition of two molecules of 13β-hydroxyabieta-8(14),9(11)-dien-12-one. NMR data of broussonetone B indicated that the C-20 methyl in part B of the broussonetone A molecule had been substituted by an aldehyde group. Thus, broussonetone B could be formed by an analogous Diels Alder reaction between 13β-hydroxyabieta-8(14),9(11)-dien-12-one as the dienophile and its 20-oxo derivative as the electrophile.

Fraga, Braulio M.; Díaz, Carmen E.; López-Rodríguez, Matías.

Tetrahedron Letters 55(4): 877-879 (2014)
DOIDigital.CSIC

Ascorbic Acid as an Initiator for the Direct C-H Arylation of (Hetero)arenes with Anilines Nitrosated In Situ

Ascorbic acid (vitamin C) has been used as a radical initiator in a metal-free direct CH arylation of (hetero)arenes. Starting from an aniline, the corresponding arenediazonium ion is generated in situ and immediately reduced by vitamin C to an aryl radical that undergoes a homolytic aromatic substitution with a (hetero)arene. Notably, neither heating nor irradiation is required. This procedure is mild, operationally simple, and constitutes a greener approach to arylation.

F. Pinacho Crisóstomo, T Martín, R. Carrillo

Angewandte Chemie - International Edition 53(8): 2181-2185 (2014)
DOIDigital.CSIC

Unique SERM-like properties of the novel fluorescent tamoxifen derivative FLTX1

Tamoxifen is a selective estrogen receptor modulator extensively used on estrogen receptor-positive breast cancer treatment. However, clinical evidences demonstrate the increased incidence of undesirable side effects during chronic therapies, the most life threatening being uterine cancers. Some of these effects are related to tissue-dependent estrogenic actions of tamoxifen, but the exact mechanisms remain poorly understood. We have designed and synthesized a novel fluorescent tamoxifen derivative, FLTX1, and characterized its biological and pharmacological activities. Using confocal microscopy, we demonstrate that FLTX1 colocalizes with estrogen receptor α (ERα). Competition studies showed that FLTX1 binding was totally displaced by unlabeled tamoxifen and partially by estradiol, indicating the existence of non-ER-related triphenylethylene-binding sites. Ligand binding assays showed that FLTX1 exhibits similar affinity for ER than tamoxifen. FLTX1 exhibited antiestrogenic activity comparable to tamoxifen in MCF7 and T47D cells transfected with 3xERE-luciferase reporter. Interestingly, FLTX1 lacked the strong agonistic effect of tamoxifen on ERα-dependent transcriptional activity. Additionally, in vivo assays in mice revealed that unlike tamoxifen, FLTX1 was devoid of estrogenic uterotrophic effects, lacked of hyperplasic and hypertrophic effects, and failed to alter basal proliferating cell nuclear antigen immunoreactivity. In the rat uterine model of estrogenicity/antiestrogenicity, FLTX1 displayed antagonistic activity comparable to tamoxifen at lower doses, and only estrogenic uterotrophy at the highest dose. We conclude that the fluorescent derivative FLTX1 is not only a suitable probe for studies on the molecular pharmacology of tamoxifen, but also a potential therapeutic substitute to tamoxifen, endowed with potent antiestrogenic properties but devoid of uterine estrogenicity.

Marrero-Alonso, Jorge; Morales, Araceli; García Marrero, B.; Boto, Alicia; Marín, Raquel; Cury, Débora; Gómez, Tomás; Fernández-Pérez, Leandro; Lahoz Zamarro, Fernando; Díaz, Mario

European Journal of Pharmaceutics and Biopharmaceutics 85(3): 898-910 (2013)
DOIDigital.CSIC

Water-compatible hydrogen-bond activation: A scalable and organocatalytic model for the stereoselective multicomponent aza-henry reaction

A study was conducted to demonstrate that H-bond based asymmetric organocatalysis can be performed under the so-called in the presence of water conditions. Nitroalkane, catalyst, dimethylcyclohexylamine, benzaldehyde and aniline were mixed to a 0°C cooled and vigorously stirred aqueous solution of NaOAc/AcOH saturated with NaCl. The organic residues were taken into dichloromethane and decanted off. The combined organic fractions were dried over Na2SO4, filtered and the filtrate was concentrated. The residue was purified by flash column chromatography (silica gel) using a mixture of hexanes/ethyl acetate. From a synthetic point of view, the reaction furnishes enantioenriched b-nitroamines decorated with aromatic or aliphatic substituents at the amine center and a different set of alkyl chains or rings attached to the carbon bearing the nitro functionality. Importantly, the reaction can be scaled up without losing yield and stereoselectivity and with full recovery of the catalyst.

Cruz-Acosta, Fabio; Armas, Pedro de; García-Tellado, Fernando

Chemistry - A European Journal 19: 16550-16554 (2013)
DOIDigital.CSIC

Chemical composition and biological effects of essential oils from Artemisia absinthium L. cultivated under different environmental conditions

The objective of this study was the valorization of the essential oils from Spanish Artemisia absinthium domesticated plants from Teruel and Sierra Nevada (Spain). These populations were experimentally cultivated in the field and under controlled conditions. The insect antifeedant properties of their essential oils collected yearly from two locations were tested against Spodoptera littoralis, Myzus persicae and Rhopalosiphum padi. Additionally we studied their phytotoxic, antifungal and antiparasitic effects. The oils from cultivated A. absinthium were characterized by the presence of cis-epoxyocimene, chrysanthenol, and chrysanthenyl acetate. The variations observed in oil composition were mostly quantitative but also qualitative. (Z)-2,6-Dimethyl-5,7-octadien-2,3-diol has been isolated and identified by NMR. Among the oil samples, these rich in cis-epoxyocimene and sesquiterpenes were the most active ones against S. littoralis. (Z)-2,6-Dimethyl-5,7-octadien-2,3-diol showed moderate activity against S. littoralis. The strongest antifeedant effects were found for commercial A. absinthium oil samples rich in thujones and sabinyl acetate. F. oxysporum and F. solani were affected by oils from cultivated A. absinthium and commercial oil samples. Oils from cultivated A. absinthium showed antiparasitic effects against Leishmania infantum and Trypanosoma cruzi with better results than the commercial

Bailén, María; Julio, Luis F.; Díaz, Carmen E.; Sanz Perucha, Jesús; Martínez-Díaz, Rafael A.; Cabrera, Raimundo; Burillo Alquézar, Jesús; González-Coloma, Azucena 

Industrial Crops and Products 49: 102-107 (2013)
DOIDigital.CSIC

Magma storage and migration associated with the 2011–2012 El Hierro eruption: Implications for crustal magmatic systems at oceanic island volcanoes

[1] Starting in July 2011, anomalous seismicity was observed at El Hierro Island, a young oceanic island volcano. On 12 October 2011, the process led to the beginning of a submarine NW‐SE fissural eruption at ~15 km from the initial earthquake loci, indicative of significant lateral magma migration. Here we conduct a multifrequency, multisensor interferometric analysis of spaceborne radar images acquired using three different satellite systems (RADARSAT‐2, ENVISAT, and COSMO‐SkyMed (Constellation of Small Satellites for Mediterranean Basin Observation)). The data fully captures both the pre‐eruptive and coeruptive phases. Elastic modeling of the ground deformation is employed to constrain the dynamics associated with the magmatic activity. This study represents the first geodetically constrained active magmatic plumbing system model for any of the Canary Islands volcanoes, and one of the few examples of submarine volcanic activity to date. Geodetic results reveal two spatially distinct shallow (crustal) magma reservoirs, a deeper central source (9.5 ± 4.0 km), and a shallower magma reservoir at the flank of the southern rift (4.5 ± 2.0 km). The deeper source was recharged, explaining the relatively long basaltic eruption, contributing to the observed island‐wide uplift processes, and validating proposed active magma underplating. The shallowest source may be an incipient reservoir that facilitates fractional crystallization as observed at other Canary Islands. Data from this eruption supports a relationship between the depth of the shallow crustal magmatic systems and the long‐term magma supply rate and oceanic lithospheric age. Such a relationship implies that a factor controlling the existence/depth of shallow (crustal) magmatic systems in oceanic island volcanoes is the lithosphere thermomechanical behavior.

González, Pablo J.; Samsonov, Sergey V.; Pepe, Susi; Tiampo, Kristy F.; Tizzani, Pietro; Casu, Francesco; Fernández, José; Camacho, Antonio G.; Sansosti, Eugenio

JGR Solid Earth 118(8): 4361-4377 (2013)
DOI

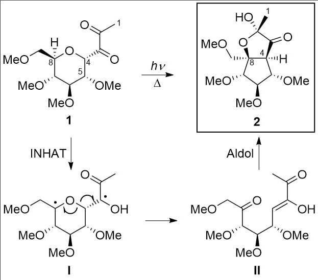
Sequential Norrish type II photoelimination and intramolecular aldol cyclization of α-diketones: Synthesis of polyhydroxylated cyclopentitols by ring contraction of hexopyranose carbohydrate derivatives

The excitation of the innermost carbonyl of nono‐2,3‐diulose derivatives by irradiation with visible‐light initiates a sequential Norrish type II photoelimination and aldol cyclization process that finally gives polyfunctionalized cyclopentitols. The rearrangement has been confirmed by the isolation of stable acyclic photoenol intermediates that can be independently cyclized by a thermal 5‐(enolexo)‐exo‐trig uncatalyzed aldol reaction with high diastereoselectivity. In this last step, the large deuterium kinetic isotope effect found for the 1,5‐hydrogen atom transfer seems to indicate that the aldol reaction runs through a concerted pericyclic mechanism. Owing to the ready availability of pyranose sugars of various configurations, this protocol has been used to study the influence of pyranose ring‐substituents on the diastereoselectivity of the aldol cyclization reaction. In contrast with other pyranose ring contraction methodologies no transition‐metal reagents are needed and the sequential rearrangement occurs simply by using visible light and moderate heating (0 to 60 °C).

Álvarez‐Dorta, Dimitri; León, Elisa I.; Kennedy, Alan R.; Martín, Ángeles; Pérez-Martín, Inés; Riesco-Fagundo, Concepción; Suárez, Ernesto 

Chemistry - A European Journal 19(31): 10312-10333 (2013)
DOIDigital.CSIC

Connecting Discrete Stereoclusters by Using DFT and NMR Spectroscopy: The Case of Nivariol

he structural determination of small organic molecules is mainly undertaken by using NMR techniques, although it is increasingly supplemented by using computational methods. NMR parameters, such as chemical shifts and coupling constants, are extremely sensitive indicators of local molecular conformation and are a source of structural evidence. However, their interpretation is fairly challenging in many circumstances, such as the case of the new polyether squalene derivative nivariol, the structure of which was elucidated by means of NMR spectroscopy and DFT calculations. The potential flexibility of this molecule and the high number of quaternary carbon atoms that it contains make its configurational assignment very difficult. Moreover, the relative configuration of four separated stereoclusters was established and subsequently connected by using NOE and J‐based analysis, as well as by a comparison of its experimental 13C NMR chemical shifts with the corresponding population‐weighted values, as calculated by using DFT methods. Limitations of these used approaches became apparent but were overcome by combining the two methods.

Cen‐Pacheco, Francisco; Rodríguez, Jaime; Norte, Manuel; Fernández, José J.; Hernández Daranas, Antonio

Chemistry - A European Journal 19(26): 8525-8532 (2013)
DOI

Multicomponent Ligation of Steroids: Creating Diversity at the Linkage Moiety of Bis-spirostanic Conjugates by Ugi Reactions

The diversity-oriented synthesis of novel bis-spirostanic conjugates utilizing two different Ugi four-component reactions (Ugi-4CR) is described. Spirostanic steroids were functionalized with Ugi-reactive groups, that is, amines, isocyanides, and carboxylic acids, and next were subjected to multicomponent ligation approaches leading to bis-steroidal conjugates featuring pseudo-peptidic and heterocyclic linkage moieties. Both the classic Ugi-4CR and its hydrazoic acid variant were implemented, proving good efficiency for the ligation of isocyanosteroids to spirostanic acids and equatorial amines. Axially oriented amines showed poorer results, although model studies proved that chemical efficiency could be significantly improved while increasing reaction times. Overall, the method comprises the rapid generation of molecular diversity at the bis-steroid linkage moiety and, consequently, shows promise toward the production of combinatorial libraries of bis-spirostanes for biological screening.

Pérez-Labrada, Karell; Méndez, Yanira; Brouard, Ignacio; Rivera, Daniel G.

ACS Combinatorial Science 15(6): 320-330 (2013)
DOIDigital.CSIC

A Novel Approach for the Evaluation of Positive Cooperative Guest Binding: Kinetic Consequences of Structural Tightening

Cooperativity is one of the most relevant features displayed by biomolecules. Thus, one of the challenges in the field of supramolecular chemistry is to understand the mechanisms underlying cooperative binding effects. Traditionally, cooperativity has been related to multivalent receptors, but Williams et al. have proposed a different interpretation based on the strengthening of noncovalent interactions within receptors upon binding. According to such an interpretation, positive cooperative binding operates through structural tightening. Hence, a quite counterintuitive kinetic behavior for positively cooperative bound complexes may be postulated: the more stable the complex, the slower it is formed. Such a hypothesis was tested in a synthetic system in which positive cooperative binding was previously confirmed by calorimetric experiments. Indeed, a linear correlation between the thermodynamics (ΔG°) and the kinetics (ΔG≠) of guest binding confirmed the expected behavior. These distinctive kinetics provide solid evidence of positive cooperative guest binding, which is particularly useful bearing in mind that kinetic experiments are frequently and accurately carried out in both synthetic and biological systems.

Carrillo Fumero, Romen; Morales, E. ; Martín, Víctor S.; Martín, Tomás

Chemistry-A European Journal 19: 7042-7048 (2013)
DOIDigital.CSIC